Beranda
/ Soal Limit Matematika - Limit Trigonometri Pengertian Rumus Contoh Soal - Limit matematika tak terasa ujian nasional kurang dari sebulan lagi.
Soal Limit Matematika - Limit Trigonometri Pengertian Rumus Contoh Soal - Limit matematika tak terasa ujian nasional kurang dari sebulan lagi.
Soal Limit Matematika - Limit Trigonometri Pengertian Rumus Contoh Soal - Limit matematika tak terasa ujian nasional kurang dari sebulan lagi.. Maybe you would like to learn more about one of these? Sehingga nilai dari limit fungsi tersebut adalah. Assalamualaikum wr wb dan salam sejahtera untuk. Untuk soal limit fungsi trigonometri dipisahkan dalam postingan lain karena soalnya akan terlalu banyak bila ditumpuk menjadi satu. Dalam matematika, limit fungsi adalah salah satu pengetahuan penting dan akan banyak diterapkan pada materi selanjutnya, yaitu kalkulus.
By ahmad ghani posted on march 22, 2021. 40 butir materi pokok : Soal soal ini ber format pdf jadi pastikan di smatrphone/pc kalian sudah terpasang aplikasi pdf readernya. Contoh soal dan pembahasan tentang limit trigonometri; Soal juga dapat diunduh dengan mengklik tautan berikut:
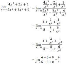
Kumpulan Contoh Soal Limit Dan Pembahasannya Guru Belajarku from gurubelajarku.com (sbmptn 2018 kode 453) karena limit tersebut bentuk, maka dapat diselesaikan dengan l. 1 20 contoh soal limit fungsi aljabar dan pembahasan. Sehingga nilai dari limit fungsi tersebut adalah. Sma kelas / semester :x/2 mata pelajaran : Limit terdiri dari limit fungsi, barisan, hingga, dan tak hingga, dan masih banyak lain sebagainya. Rumus limit matematika fungsi, tak hingga, contoh soal. Check spelling or type a new query. 1 4 2 lim 3 2 x x x jawab.
Dalam matematika, limit fungsi adalah salah satu pengetahuan penting dan akan banyak diterapkan pada materi selanjutnya, yaitu kalkulus.
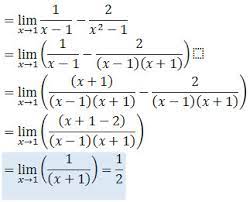
(sbmptn 2018 kode 453) karena limit tersebut bentuk, maka dapat diselesaikan dengan l. Soal juga dapat diunduh dengan mengklik tautan berikut: 2 x 45 menit kurikulum : By continuing to use this website, you agree to their use. Get personalised size recommendations with asos fit assistant. Instrumen tes matematika satuan pendidikan : Pembahasan soal un limit fungsi aljabar by zero maker thursday february 16 2017 pembahasan soal soal ujian nasional un sma bidang studi matematika ipa untuk pokok bahasan limit fungsi aljabar. Dalam matematika limit adalah nilai yang didekati. Limit terdiri dari limit fungsi, barisan, hingga, dan tak hingga, dan masih banyak lain sebagainya. Soal limit aljabar yang diselesaikan dengan pemfaktoran. Limit biasa dipakai dalam kalkulus dan cabang lainnya dari analisis matematika untuk mencari turunan dan kontinyuan. Limit aljabar metode pemfaktoran in 2021 limits. Artinya jika x mendekati a tetapi x a maka f x mendekati nilai l.
By ahmad ghani posted on march 22, 2021. Recent papers in matematika limit fungsi latihan soal dan pembahasan. Limit fungsi matematika limit adalah sebuah konsep yang ada pada pelajaran matematika limit biasanya digunakan untuk menerangkan suatu sifat dari suatu fungsi. Contoh soal limit fungsi dan pembahasan contoh soal limit 1. Tolongin soal aku dong matematika.
Contoh Soal Limit Fungsi Aljabar Dan Pembahasannya Lengkap from awsimages.detik.net.id Soal limit aljabar yang diselesaikan dengan pemfaktoran. Assalamualaikum wr wb dan salam sejahtera untuk. Lim x → ∞ termasuk juga limit x → 0. Tentukanlah nilai dari (uan 2002) pembahasan 1 : Dengan menggunakan konsep limit fungsi, berikut gradien garis singgungnya. Agar lebih jelas pahami pembahasan berikut. Sma kelas / semester :x/2 mata pelajaran : Limit matematika tak terasa ujian nasional kurang dari sebulan lagi.
Limit trigonometri menjadi salah satu teori yang dianggap sulit bagi sebagian orang, khususnya bagi yang sedang duduk di bangku sekolah menengah atas (sma).
Soal soal ini ber format pdf jadi pastikan di smatrphone/pc kalian sudah terpasang aplikasi pdf readernya. Recent papers in matematika limit fungsi latihan soal dan pembahasan. Limit fungsi matematika limit adalah sebuah konsep yang ada pada pelajaran matematika limit biasanya digunakan untuk menerangkan suatu sifat dari suatu fungsi. Limit terdiri dari limit fungsi, barisan, hingga, dan tak hingga, dan masih banyak lain sebagainya. Instrumen tes matematika satuan pendidikan : Contoh soal limit trigonometri mudah enjoy the videos and music you love upload original content and share it all with friends family and the world on youtube. Pembahasan soal limit sbmptn 2018. Pembahasan soal un limit fungsi aljabar by zero maker thursday february 16 2017 pembahasan soal soal ujian nasional un sma bidang studi matematika ipa untuk pokok bahasan limit fungsi aljabar. Berikut ini www.matjitu.com akan membahas beberapa soal sbmptn tentang limit. By ahmad ghani posted on march 22, 2021. Tentukanlah nilai dari (uan 2002) pembahasan 1 : Soal juga dapat diunduh dengan mengklik tautan berikut: By continuing to use this website, you agree to their use.
Yang membuat saya lumayan heran, kok tidak ada limit fungsi trigonometri ataupun turunan fungsi trigonometri. Tentukanlah nilai dari (spmb 2002) pembahasan 3 : Recent papers in matematika limit fungsi latihan soal dan pembahasan. Limit biasa dipakai dalam kalkulus dan cabang lainnya dari analisis matematika untuk mencari turunan dan kontinyuan. Contoh soal limit trigonometri mudah enjoy the videos and music you love upload original content and share it all with friends family and the world on youtube.
Rumus Limit Matematika Fungsi Tak Hingga Contoh Soal from rumus.co.id 1 20 contoh soal limit fungsi aljabar dan pembahasan. Limit aljabar metode pemfaktoran in 2021 limits. Pembahasan soal un limit fungsi aljabar by zero maker thursday february 16 2017 pembahasan soal soal ujian nasional un sma bidang studi matematika ipa untuk pokok bahasan limit fungsi aljabar. Soal & pembahasan matematika sd, smp & sma. Untuk soal limit fungsi trigonometri dipisahkan dalam postingan lain karena soalnya akan terlalu banyak bila ditumpuk menjadi satu. Lembar soal tes tulis limit fungsi sma negeri 1 badegan jl. Soal limit aljabar yang diselesaikan dengan pemfaktoran. Rumus limit matematika fungsi, tak hingga, contoh soal.
Limit didalam konsep ilmu matematik biasa digunakan untuk menjelaskan suatu sifat dari suatu fungsi, saat agumen telah mendekati pada suatu titik tak terhingga atau sifat dari suatu barisan saat indeks mendekati tak hingga.
Dalam matematika limit adalah nilai yang didekati. Limit didalam konsep ilmu matematik biasa digunakan untuk menjelaskan suatu sifat dari suatu fungsi, saat agumen telah mendekati pada suatu titik tak terhingga atau sifat dari suatu barisan saat indeks mendekati tak hingga. Contoh soal limit fungsi rasional. Soal soal ini ber format pdf jadi pastikan di smatrphone/pc kalian sudah terpasang aplikasi pdf readernya. Pembahasan soal un limit fungsi aljabar by zero maker thursday february 16 2017 pembahasan soal soal ujian nasional un sma bidang studi matematika ipa untuk pokok bahasan limit fungsi aljabar. Soal juga dapat diunduh dengan mengklik tautan berikut: Artinya jika x mendekati a tetapi x a maka f x mendekati nilai l. Contoh soal limit fungsi dan pembahasan contoh soal limit 1. (sbmptn 2018 kode 453) karena limit tersebut bentuk, maka dapat diselesaikan dengan l. Limit matematika tak terasa ujian nasional kurang dari sebulan lagi. Tentukanlah nilai dari (spmb 2002) pembahasan 3 : 4 2 4 lim t t t jawab. Untuk soal limit fungsi trigonometri, dipisahkan pada pos lain karena soalnya akan terlalu banyak bila ditumpuk menjadi satu.
Berbagi
Posting Komentar
untuk "Soal Limit Matematika - Limit Trigonometri Pengertian Rumus Contoh Soal - Limit matematika tak terasa ujian nasional kurang dari sebulan lagi."
Posting Komentar untuk "Soal Limit Matematika - Limit Trigonometri Pengertian Rumus Contoh Soal - Limit matematika tak terasa ujian nasional kurang dari sebulan lagi."